This topic talk about wat we have learn in all this year in the blog.And a new topic name the type of blod that are A, B, AB, O. Also the cromosomes. Also talk about the Hemophelia is a great deseses. Our body have 23 chromosemes.
In this blog i will put all the vocabularys i do in my science class. I hope you enjoy it.
miércoles, 17 de noviembre de 2010
sábado, 13 de noviembre de 2010
How heredity Works
The different between mitosis and meiosis is that mitosis is the divition of the nucleus while a cell is dividing into 2 identical cells. And meiosis is the same but only ocure in the sex cell.
parts of a cell
What is the DNA? a DNA is a long, complex molecule that contains the codes that control your cells activiteas, your chemical makeup, and heredity.
Predicting traits
for predict traits we us a Punett Sqauare:
Example:
BB: full dominant
Bb: incomplete dominant
bb:rescecive
Trait: genes
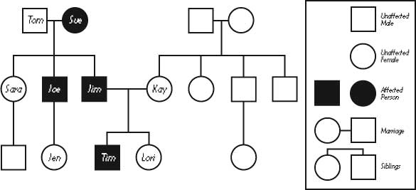
Other think we use is the Pedigree:
Example:
Example:
BB: full dominant
Bb: incomplete dominant
bb:rescecive
Trait: genes
Other think we use is the Pedigree:
Example:
Learning About Heredity
What is a trait? A trait is a fisical characteristic pass to the parent to the offspring .Gregor Mendel is consider the father of the genetic he count the types of pea plants .
The types of polinations are self polination and cross polination
The types of polinations are self polination and cross polination
Geologic time
You some times hear scientis saing this two word relative age and absolute age and you dont now to wat they refer until today because i will explane you the diference of each one.
The diferent between relative age and absolute age is that relative age is the age that is no so much clear of some thing and absolute age is the age that is a 100% sure that that is the age.
There are 4 types of Eras Precambrian, Paleozoic, Mesozoic, and Conozoic. And we live in the Era Cenozoic, Period Quaternary but I think that the chart below will help you to understand more.
The diferent between relative age and absolute age is that relative age is the age that is no so much clear of some thing and absolute age is the age that is a 100% sure that that is the age.
There are 4 types of Eras Precambrian, Paleozoic, Mesozoic, and Conozoic. And we live in the Era Cenozoic, Period Quaternary but I think that the chart below will help you to understand more.
The Rock Cycle
In this topic we will learn about the rock cycle lets bigin:
first the volcano take out lava that roc is name Igneus rock then that rock go to the sand and transform into Sedimentary rock then it travel to the center of the earth whene it transform into Metamorphic rock and for last it transom into magma and the prosses continue and it never stops.
first the volcano take out lava that roc is name Igneus rock then that rock go to the sand and transform into Sedimentary rock then it travel to the center of the earth whene it transform into Metamorphic rock and for last it transom into magma and the prosses continue and it never stops.
Lift, Carry and Drop
Gravity affect materials by breaking down rocks in sedementary.that is call mass wasting . They are tree types of glaciars
- Valley Glaciar: Is form in the hight mountain valleys,where it is cold because of the elevation.
- Continental Glaciars: Is form near the poles,where it is cold because of the latitude.
- Narrower Glaciars: They dragged soil along. As they marged into one glacier, the soil became trapped in the middle, like a stream of soil.
Suscribirse a:
Comentarios (Atom)









